Skip to content Skip to sidebar Skip to footer

42 un1845 label printable

Dry Ice UN 1845 Labels 100x75mm | Labels Online Buy Dry Ice UN 1845 Labels 100x75mm online now from labelsonline.co.uk - Suppliers of a wide range of Handling & Shipping Labels and Stickers. Currency. GBP (£) EUR - Euro; USD - US Dollar ... Print Colour(s) Red: Base Colour: White: Material: Paper: Pack Size: 250 Labels: Reviews . Write Your Own Review. You're reviewing: DRY ICE UN 1845 ... Printable Dry-Ice Label - Mungfali Amazon.com: 6" x 6" Dry Ice UN1845 Labels (500 per Roll): Office Products. 32 Printable Dry Ice Shipping Label - Labels For Your Ideas. ... Visually enhanced, image enriched topic search for Printable Dry-Ice Label. Mungfali.com 2017 ...

Dry Ice Labels UN1845 Class 9 InStockLabels.com Dry Ice Labels UN1845 Class 9 - Warehouse. $ 34.39. Warning Labels. 500 Labels. 6″ Square Shape. Semi-Gloss Paper. Permanent Adhesive. Eco-Friendly Print. Made in the U.S.A. - Ready to Ship Now.

Un1845 label printable

Un1845 label printable

DRY ICE, ____ kg UN1845 Special Handling Labels 6" x 6" "Dry Ice, ____ Kg - UN1845" square paper labels. These labels comply with 49 CFR 172.407 for D.O.T. colors, specifications, and sizes. The labels are paper with permanent pressure sensitive adhesive on the back. Labels are packaged and sold in quantities of 1000 (2 Rolls of 500). Dry Ice Labels UN1845 Class 9 - Walmart.com Arrives by Fri, May 6 Buy Dry Ice Labels UN1845 Class 9 at Walmart.com. New pickup & delivery customers: get $10 off your first three orders. Restrictions apply. Use code TRIPLE10. ... 500 Labels;Eco-Friendly Black Print;Permanent Adhesive;Semi Gloss Paper; Dry Ice Labels UN1845 Class 9. 6" X 6" Dry Ice Un1845 Labels (500 Per Roll) D3F - Mungfali Amazon.com: 6" x 6" Dry Ice UN1845 Labels (500 per Roll): Office Products. Class 9, UN1845, Dry Ice Label - Polarice. ... 33 Dry Ice Label Printable - Labels Information List. 31 Dry Ice Warning Label - Label Design Ideas 2020. 6" x 6" Dry Ice Labels, 500/roll | Pratt Plus.

Un1845 label printable. Dry Ice Shipping Labels - Polar Ice Ltd. Labelmaster's paper, 6″ x 6″ Worded Dry Ice Labels have UN1845 Dry Ice preprinted on them. There are blanks to fill in your dry ice quantity, the shipper's name and the consignee. These Worded Dry Ice Labels meet the design and durability standards of 49 CFR, ICAO and other international air regulations. Dry Ice Label Printable : Print Order Number On The ... - Blogger Find your exact dry ice label printable for free on the web! Brand, ‎the label supplies shop ; Learn to make custom labels of your own. Dry ice wt only (2 lbs = 1 kg). Not write or mark on the. Manufacturer, ‎decker tape products ; Labelmaster's paper, 6 x 6 worded dry ice labels have un1845 dry ice preprinted on them. Labels - UN3373.com Label UN3373 International 100 mm x 150 mm White . Bestellen. Label 'This way up' 60 mm x 100 mm White . Bestellen. Label IATA-DGR 100 mm x 60 mm White . Bestellen. Label UN2814 80 mm x 96 mm White . Bestellen. Label Dry Ice UN1845 160 mm x 162 mm White . Bestellen. This website uses cookies in order to improve your overall experience as a user ... 6" x 6" Dry Ice Labels UN1845 — 500 per Roll Get a simple solution for one of your most pressing shipping needs with these affordable UN1845 Dry Ice Labels from The Supplies Shops. . Due to ongoing labor and supply chain issues, some orders may be delayed. ... June 23, 2022 by Bernardsville Print C (NJ, United States)

Amazon.com : Dry Ice Shipping Labels Hazard Class 9 UN1845 6 x 6 Inch ... Amazon.com : Dry Ice Shipping Labels Hazard Class 9 UN1845 6 x 6 Inch 500 Total Stickers : Office Products ... We make these labels in house and print them using an eco-friendly water-based ink. Semi-Gloss: Each of these labels is made with a semi-gloss material. These stickers can adhere to boxes, bins, metal, wood, plastic, apparel, glass ... Dry Ice Label, Paper, Roll of 500 | Labelmaster Labelmaster's paper, 6" x 6" Worded Dry Ice Labels have UN1845 Dry Ice preprinted on them. There are blanks to fill in your dry ice quantity, the shipper's name and the consignee. These Worded Dry Ice Labels meet the design and durability standards of 49 CFR, ICAO and other international air regulations. The Hazard Class 9 labels can help you ... PDF SHIPPING DRY ICE - FedEx • The label may be attached to the package by means of a strong tag. • Special FedEx Express Dry Ice labels are available free of charge by calling 1.800.GoFedEx 1.800.463.3339. These labels greatly simplify the marking and labeling process. • Part# 167095 (Package of 50 labels) • Part# 106426 (Roll of 250 labels) 9_ Dry Ice UN 1845 6" x 6" Dry Ice UN1845 Labels (500 per Roll) - amazon.com Choose items to buy together. This item: 6" x 6" Dry Ice UN1845 Labels (500 per Roll) $41.54. In stock. Usually ships within 2 to 3 days. Ships from and sold by The Supplies Shops. FREE Shipping. Labelmaster L380 UN3373 Label, with Tab, 4" x 4 3/4" (Pack of 500) $33.54 ($0.07/Count)

PDF Changes to Dry Ice "Class 9" Shipping Markings & Label Old Dry Ice Label New Dry Ice Label See next page for a printable Class 9 Dry Ice Shipping and Address Label. Markings and hazard labels for dry ice are required when the package is sent by air, water, or when ... solid" or "Dry ice" and UN1845 3. Net quantity of dry ice . UN 1845 Marking Requirements: • Packages that have greater than ... PDF Dry Ice Label - FedEx Global Home - Select Your Location Dry Ice UN1845 9 If the address of the shipper and recipient is not durably marked on the package, print it above (DO NOT WRITE OR MARK ON THE CLASS 9 LABEL) USPS Packaging Instruction 9A | Postal Explorer For air transportation, each mailpiece must bear a Class 9 DOT miscellaneous hazardous material warning label and must be clearly marked "Carbon Dioxide Solid, UN1845" Or "Dry Ice, UN1845.". For surface transportation, each mailpiece must be clearly marked "Surface Only" or "Surface Mail Only" and "Carbon Dioxide Solid, UN1845 ... PDF Shipping UN 1845, Dry Ice, 9 - University of Nebraska Medical Center The Dry Ice, 9, UN1845 box must be checked. E Nature and Quantity of Goods The first line is the number of packages containing dry ice. The ... Class 9 label UN 3373 marking consignee name and address must match airbill . Shipping Exempt Human (or Animal) Specimen

Transportation Labels

Transportation Labels

UN/NA 1845 | CAMEO Chemicals | NOAA The Hazmat Table in 49 CFR 172.101 "lists and classifies those materials which the Department (of Transportation) has designated as hazardous materials for purposes of transportation". UN/NA datasheets display several items from the Hazmat Table: proper shipping names, hazard classes and divisions (explosives may also include a compatibility group letter label codes, and special notes relating ...

3

3" x 4" Perishable Labels (500 per Roll)

PDF Dryice Class 9 Label Printable - University of Virginia the package, print it above (DO NOT WRITE OR MARK ON THE CLASS 9 LABEL) ____ kg Dry ice wt only (2 lbs = 1 kg) Unless package size is too small, place label on package so that the hazard marking is in a 45 degree angle on point ( ). Airbills must have the following: 2. Number of pkgs x wt. (kg) 1. UN 1845, Dry Ice 106426 2/13 RRD NOTICE

Packaging Requirements for Dry Ice

Packaging Requirements for Dry Ice

PDF Dry Ice Label - Environment, Health and Safety Dry Ice UN1845 9 If the address of the shipper and recipient is not durably marked on the package, print it above (DO NOT WRITE OR MARK ON THE CLASS 9 LABEL)

Personalized Dry Ice Labels, Paper, Roll of 500 | Labelmaster

Personalized Dry Ice Labels, Paper, Roll of 500 | Labelmaster

Product Details - IATA: International Air Transport Association DG Hazard Label - Class 9 - Dry Ice (UN1845) DG Hazard Label - Class 9 - Dry Ice (UN1845) Regular Price: $23.00: Availability: Available Now: Product Number: 8755-00: Media: Labels: Language: English: Edition: Effective Date: Mar 22, 2019 until Dec 31, 2025 QTY: Quantity: Description Edition .

Close-up of dry ice warning label on shipping box listing UN ...

Close-up of dry ice warning label on shipping box listing UN ...

File:UN1845 Dry Ice Label.svg - Wikimedia Commons English: The UN1845 label for dry ice. Date: 5 December 2018: Source: Own work: Author: Bathyscapher: Licensing . ... Print/export. Download as PDF; Printable version; This page was last edited on 29 October 2020, at 11:11. Files are available under licenses specified on their description page.

Label List by ACME SHIPPING SUPPLIES - Issuu

Label List by ACME SHIPPING SUPPLIES - Issuu

Class 9, UN 1845 Dry Ice Labels by ASC, Inc. Dry Ice, UN 1845, Miscellaneous Class 9 labels are required when shipping Dry Ice. These Class 9, Dry Ice labels allow users to specify the quantity weight being used. These labels comply with domestic and international regulations meeting the requirements under DOT CFR 49, ICAO / IATA and IMDG guidlines for shipments by air, land or sea.

Blaiklock Compass World Transport (HK) Ltd.

Blaiklock Compass World Transport (HK) Ltd.

Class 9 Dry Ice UN1845 - Dangerous Goods Labels - Labeline.com Class 9 Dry Ice UN1845 Label - Code V029/ICE. Polypropylene Labels with Easy Peel backing - 150x150mm. √ Weather √ Marine √ Abrasion √ UV. Tested √ DG Regulatory compliant provider. All our labels and placards conform to BS 5609 standards for pressure-sensitive, adhesive-coated labels.

4-3/4

4-3/4" x 4 Biological Substance, Category B "UN3373" (500 per Roll)

UN1845 Dry Ice Shipping Label, 6" x 6" | United Ad Label SKU: ULCL318C. $24.19. UN1845 Dry Ice Shipping Label, 6" x 6" is available to buy in increments of 1. Qty. Add to Cart.

Order medical labels Order packaging conveniently Online

Order medical labels Order packaging conveniently Online

Personalized Dry Ice Labels, Paper, Roll of 500 - Labelmaster Usually ships within 5 days. Item Description. Customize your shipping label solution with Labelmaster's Personalized Dry Ice Labels, revised to meet the design requirements of 49 CFR 172.407. This UN1845 Dry Ice label comes pre-printed with the marking requirements of 172.300. When ordering, simply specify the quantity and shipper and ...

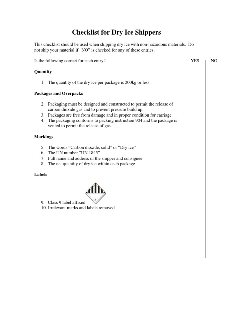
Dryice Checklist | PDF

Dryice Checklist | PDF

File:UN1845 Dry-Ice-Label AdressField A4.svg - Wikimedia Commons English: The UN1845 label for dry ice with address field on A4 page size. Date: 11 July 2019: Source: Own work: Author: Bathyscapher: Licensing . ... Printable version; This page was last edited on 22 April 2022, at 16:58. Files are available under licenses specified on their description page.

Shop | Cryo Store

Shop | Cryo Store

6" X 6" Dry Ice Un1845 Labels (500 Per Roll) D3F - Mungfali Amazon.com: 6" x 6" Dry Ice UN1845 Labels (500 per Roll): Office Products. Class 9, UN1845, Dry Ice Label - Polarice. ... 33 Dry Ice Label Printable - Labels Information List. 31 Dry Ice Warning Label - Label Design Ideas 2020. 6" x 6" Dry Ice Labels, 500/roll | Pratt Plus.

Battery Powered Vehicle Label

Battery Powered Vehicle Label

Dry Ice Labels UN1845 Class 9 - Walmart.com Arrives by Fri, May 6 Buy Dry Ice Labels UN1845 Class 9 at Walmart.com. New pickup & delivery customers: get $10 off your first three orders. Restrictions apply. Use code TRIPLE10. ... 500 Labels;Eco-Friendly Black Print;Permanent Adhesive;Semi Gloss Paper; Dry Ice Labels UN1845 Class 9.

Next Generation Sequencing Dry Ice Shipment

Next Generation Sequencing Dry Ice Shipment

DRY ICE, ____ kg UN1845 Special Handling Labels 6" x 6" "Dry Ice, ____ Kg - UN1845" square paper labels. These labels comply with 49 CFR 172.407 for D.O.T. colors, specifications, and sizes. The labels are paper with permanent pressure sensitive adhesive on the back. Labels are packaged and sold in quantities of 1000 (2 Rolls of 500).

How to Ship Products which require Dry Ice using UPS ...

How to Ship Products which require Dry Ice using UPS ...

Dangerous goods label basics

Dangerous goods label basics

Saf-T-Pak® STP-804 - UN1845 Dry Ice Marking, 2 x 3

Saf-T-Pak® STP-804 - UN1845 Dry Ice Marking, 2 x 3", 120/Case ...

Amazon.com: 6

Amazon.com: 6" x 6" Dry Ice UN1845 Labels (500 per Roll ...

Shipping of Biological Samples - Intra Canada - Eve Technologies

Shipping of Biological Samples - Intra Canada - Eve Technologies

Material Safety Data Sheet - PDF Free Download

Material Safety Data Sheet - PDF Free Download

Reference 800435 - Label dry ice UN 1845 - DD Biolab ...

Reference 800435 - Label dry ice UN 1845 - DD Biolab ...

Dry Ice Label, Paper, Roll of 500 | Labelmaster

Dry Ice Label, Paper, Roll of 500 | Labelmaster

Fisherbrand™ Shipping Labels Dry-ice label; 15.24 x 15.24cm ...

Fisherbrand™ Shipping Labels Dry-ice label; 15.24 x 15.24cm ...

Products – Page 4 – Gobo Trade Ltd.

Products – Page 4 – Gobo Trade Ltd.

Softbox supports Pfizer's COVID-19 vaccine distribution with ...

Softbox supports Pfizer's COVID-19 vaccine distribution with ...

Amazon.com: 6

Amazon.com: 6" x 6" Dry Ice UN1845 Labels (500 per Roll ...

UN348030913481New Lithium Ion Metal Battery Label Aviation ...

UN348030913481New Lithium Ion Metal Battery Label Aviation ...

Shipping Label Dry Ice 5-1/2 X 5-1/2 Inch - Label, Therapak ...

Shipping Label Dry Ice 5-1/2 X 5-1/2 Inch - Label, Therapak ...

Dry Ice Labels UN1845 Class 9 - Warehouse

Dry Ice Labels UN1845 Class 9 - Warehouse

Uni Eropa Saham Asli Ninebot dengan Segway Kickscooter ES4 ...

Uni Eropa Saham Asli Ninebot dengan Segway Kickscooter ES4 ...

Shipping Biological Substances and Dry Ice

Shipping Biological Substances and Dry Ice

Hazard Class 9 Labels by ASC, Inc.

Hazard Class 9 Labels by ASC, Inc.

81 AMS-938

81 AMS-938

Pre-printed UN3373 P650, P620 shipping labels for boxes ...

Pre-printed UN3373 P650, P620 shipping labels for boxes ...

LabelMaster® Labels w/

LabelMaster® Labels w/ "UN1845 Dry Ice" Print, 6"L x 6"W ...

Cgo Manual 02032018 | PDF | Cargo | Dangerous Goods

Cgo Manual 02032018 | PDF | Cargo | Dangerous Goods

Class Dot Label Security Dry Ice Stock Vector Image by ©oculo ...

Class Dot Label Security Dry Ice Stock Vector Image by ©oculo ...

Sample Collection Kit Request

Sample Collection Kit Request

SHIPPING DRY ICE

SHIPPING DRY ICE

3 Options for Printing on Corrugated Boxes - Rusken Packaging ...

3 Options for Printing on Corrugated Boxes - Rusken Packaging ...

Dry Ice Shipping Labels Hazard Class 9 UN1845 6 x 6 Inch 500 ...

Dry Ice Shipping Labels Hazard Class 9 UN1845 6 x 6 Inch 500 ...

SHIPPING DRY ICE

SHIPPING DRY ICE

How to Ship Frozen Items using Dry Ice via FedEx - PluginHive

How to Ship Frozen Items using Dry Ice via FedEx - PluginHive

Post a Comment for "42 un1845 label printable"